|
產品 |
地區 |
企業名稱 |
10-19 |
10-23 |
漲跌 |
|
甲醇 |
東北 |
北大荒浩化 |
3000-3000 |
3000-3000 |
0/0 |
|
甲醇 |
東北 |
大慶油田 |
1850-1850 |
1850-1850 |
0/0 |
|
甲醇 |
東北 |
中煤龍化 |
1800-1900 |
1800-1900 |
0/0 |
|
甲醇 |
華北 |
河北建滔 |
2000-2000 |
2000-2000 |
0/0 |
|
甲醇 |
華北 |
河北正元 |
2100-2100 |
2100-2100 |
0/0 |
|
甲醇 |
華北 |
內蒙博源運銷 |
1700-1800 |
1700-1800 |
0/0 |
|
甲醇 |
華北 |
內蒙古天野 |
2000-2000 |
2000-2000 |
0/0 |
|
甲醇 |
華北 |
山西丹峰 |
3300-3300 |
3300-3300 |
0/0 |
|
甲醇 |
華北 |
山西豐喜 |
1950-1950 |
1950-1950 |
0/0 |
|
甲醇 |
華北 |
山西蘭花清潔能源 |
3200-3250 |
3200-3250 |
0/0 |
|
甲醇 |
華北 |
山西原平 |
3850-3900 |
3850-3900 |
0/0 |
|
甲醇 |
華北 |
石家莊新化 |
2000-2000 |
2000-2000 |
0/0 |
|
甲醇 |
華東 |
安徽臨泉 |
2120-2120 |
2120-2120 |
0/0 |
|
甲醇 |
華東 |
福建三明化工 |
2500-2500 |
2500-2500 |
0/0 |
|
甲醇 |
華東 |
江西江氨 |
1800-1850 |
1800-1850 |
0/0 |
|
甲醇 |
華東 |
山東紅日阿康 |
3250-3250 |
3250-3250 |
0/0 |
|
甲醇 |
華東 |
山東聯盟 |
2100-2100 |
2100-2100 |
0/0 |
|
甲醇 |
華東 |
上海焦化 |
2150-2200 |
2150-2200 |
50/0 |
|
甲醇 |
華東 |
兗礦煤化 |
2100-2100 |
2100-2100 |
0/0 |
|
甲醇 |
華南 |
中海油建滔 |
2270-2320 |
2270-2320 |
0/0 |
|
甲醇 |
華中 |
昊華駿化 |
2000-2000 |
2000-2000 |
0/0 |
|
甲醇 |
華中 |
河南義馬 |
2050-2050 |
2050-2050 |
0/0 |
|
甲醇 |
華中 |
平煤藍天 |
2050-2050 |
2050-2050 |
0/0 |
|
甲醇 |
華中 |
濮陽龍宇化工 |
2050-2050 |
2050-2050 |
0/0 |
|
甲醇 |
西北 |
巴州東辰 |
1600-1600 |
1600-1600 |
0/0 |
|
甲醇 |
西北 |
長慶油田 |
1750-1750 |
1750-1750 |
0/0 |
|
甲醇 |
西北 |
甘肅劉化 |
3100-3200 |
3100-3200 |
0/0 |
|
甲醇 |
西北 |
格爾木 |
1600-1650 |
1650-1650 |
0/0 |
|
甲醇 |
西北 |
克拉瑪依 |
1800-2200 |
1800-2200 |
0/0 |
|
甲醇 |
西北 |
神木化工 |
1750-1850 |
3400-3400 |
0/0 |
|
甲醇 |
西北 |
陜西渭河 |
3400-3400 |
1900-2000 |
0/0 |
|
甲醇 |
西北 |
陜西榆天化 |
1900-2000 |
1750-1850 |
0/0 |
|
甲醇 |
西北 |
新疆吐哈 |
1100-1450 |
1100-1450 |
0/0 |
|
甲醇 |
西南 |
四川川維 |
2400-2500 |
2400-2500 |
0/0 |
|
甲醇 |
西南 |
四川江油 |
1950-1950 |
1950-1950 |
0/0 |
|
甲醇 |
西南 |
四川瀘天化 |
1850-1850 |
1850-1850 |
0/0 |
|
甲醇 |
西南 |
宜賓天科 |
2050-2100 |
2050-2100 |
0/0 |
|
甲醇 |
西南 |
云南云維集團 |
1950-2000 |
1950-2000 |
0/0 |
|
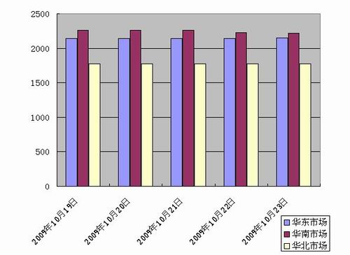
時間 |
華東地區 |
華南地區 |
華北地區 |
|
10-19 |
2100-2180 |
2250-2270 |
1600-1950 |
|
10-20 |
2100-2180 |
2250-2270 |
1600-1950 |
|
10-21 |
2100-2180 |
2250-2270 |
1600-1950 |
|
10-22 |
2100-2180 |
2220-2240 |
1600-1950 |
|
10-23 |
2100-2200 |
2200-2240 |
1600-1950 |
|
漲跌 |
0/20 |
-50/-30 |
0/0 |

|
|
周一 |
周二 |
周三 |
周四 |
周五 |
|
FOB鹿特丹 |
277.5-278.98 |
277.50-278.98 |
282.36-283.85 |
282.36-283.85 |
286.5-288 |
|
FD美國海灣 |
298.035-301.365 |
298.035-301.365 |
293.04-296.37 |
298.035-301.365 |
296.37-299.7 |
|
|
周一 |
周二 |
周三 |
周四 |
周五 |
|
中國國內 |
2095-2100 |
2095-2105 |
2105-2115 |
2120-2130 |
2095-2105 |
|
CFR中國 |
257-258 |
256.00-258.00 |
256-258 |
255-257 |
257-258 |
|
CFR東南亞 |
239-240 |
240.00-241.00 |
240-241 |
240-241 |
239-241 |

|
企業名稱 |
產能(萬噸/年) |
裝置運行情況 | |
|
華東 |
上海焦化 |
80 |
其總80萬噸/年的甲醇裝置穩定 |
|
華東 |
江蘇索普 |
50 |
9月投產,預計11月產出合格產品 |
|
華東 |
江蘇恒盛 |
40 |
精餾停產,生產粗醇 |
|
山東 |
山東兗礦國宏 |
50 |
10月15日停車檢修15天 |
|
山東 |
山東聯盟 |
56 |
其甲醇裝置負荷40% |
|
山東 |
山東魯西 |
38 |
日產600噸 |
|
山東 |
山東兗礦國泰 |
24 |
于10月16日停車檢修10天,醋酸同步停車 |
|
山東 |
山東兗礦國際焦化 |
20 |
生產不穩定 |
|
山東 |
山東明水大化 |
50 |
日產量700噸 |
|
山東 |
山東魯南化肥廠 |
15 |
生產穩定,計劃10月底檢修 |
|
山東 |
山東; |
10 |
穩定 |
|
山東 |
山東滕州盛隆煤焦化 |
10 |
生產穩定 |
|
華北 |
河北正元 |
25 |
裝置開工20%左右,日產130噸 |
|
華北 |
河北旭陽焦化 |
14+10 |
生產穩定,計劃11月初檢修 |
|
華北 |
河北金牛 |
20 |
日產量400噸,計劃11月初檢修 |
|
華北 |
河北建滔化工 |
20 |
裝置正常運行 |
|
華北 |
河北唐山中潤 |
20 |
裝置正常 |
|
華北 |
河北峰峰集團 |
10 |
日產量300噸 |
|
華北 |
天津堿廠 |
50 |
09年9月開工,2010年投產 |
|
華北 |
山西大川中天煤化 |
10 |
停車,開車時間待定 |
|
華北 |
山西建滔萬鑫達 |
10 |
設備問題,日產量降至200噸 |
|
華北 |
山西建滔潞寶 |
10 |
日產量降至200噸 |
|
華北 |
山西豐喜 |
45 |
一套10萬噸/年裝置目前產量150噸 |
|
華北 |
山西原平 |
22 |
無計劃開車 |
|
華北 |
山西晉豐 |
10 |
精醇裝置運行不穩,日產量100噸 |
|
華北 |
山西丹峰 |
10 |
停車中 |
|
華北 |
山西蘭花 |
20 |
停車中 |
|
華北 |
山西焦化 |
20 |
自08年10月中下旬停車至今未恢復 |
|
華北 |
山西臨汾同世達 |
20 |
9月24日產出產品 |
|
華北 |
山西安澤永鑫 |
10 |
目前運行正常 |
|
華北 |
山西天澤 |
35 |
其15萬噸裝置停車,20萬噸裝置停車中 |
|
華北 |
山西天脊 |
30 |
6月份投產,仍處于調試中 |
|
西北 |
新疆吐哈 |
24 |
9月12日停車至今 |
|
西北 |
克拉瑪依石化 |
20 |
停車,重啟時間不定 |
|
西北 |
新疆巴州東辰 |
18 |
處于停車狀態,重啟時間待定。 |
|
西北 |
內蒙古博源 |
100 |
穩定 |
|
西北 |
內蒙古慶華 |
20 |
目前正常 |
|
西北 |
內蒙古天野 |
20 |
現日產量400余噸。 |
|
西北 |
內蒙古蘇里格 |
35 |
穩定 |
|
西北 |
內蒙古新能 |
60 |
10月10日重啟,運行穩定 |
|
西北 |
內蒙古東能 |
20 |
9月底檢修,10月上旬開車,運行穩定 |
|
西北 |
神華寧煤 |
24 |
10月10日左右停車,預計月底開車 |
|
西北 |
陜西榆天化 |
61 |
開工率80%,10月25日起輪流停車檢修15天 |
|
西北 |
陜西榆林能化 |
60 |
運行不正常 |
|
西北 |
陜西神木 |
60 |
其60萬噸/年裝置負荷70-80% |
|
西北 |
陜西黑貓焦化 |
10 |
穩定 |
|
西北 |
陜西長慶 |
10 |
8月20日開始停車,10月20日重啟 |
|
西北 |
甘肅藍星 |
20 |
于7月9日停產檢修3個月,10月中下旬重啟 |
|
西北 |
青海格爾木 |
42 |
穩定 |
|
西南 |
重慶建滔 |
45 |
日產900噸 |
|
西南 |
四川瀘天化 |
44.5 |
仍處于停車中。企業表示重啟時間暫無法確定 |
|
西南 |
四川川維 |
30 |
1#及2#共計20萬噸/年的甲醇裝置開車,另外3#10萬噸/年的甲醇裝置仍處于停車中 |
|
西南 |
四川宜賓天科 |
9 |
于08年10月中旬停車,企業推遲啟動 |
|
西南 |
四川江油 |
15 |
自7月11日起停車至今。企業表示目前重啟時間暫無法確定 |
|
西南 |
四川化工控股 |
60 |
該項目將于09 年4月中旬在巴彥淖爾經濟開發區開工建設,2011年9月建成投產 |
|
西南 |
四川達州鋼鐵 |
20 |
預計11月投產 |
|
西南 |
云南云維 |
30 |
30萬噸/年裝置目前日產近800噸 |
|
華中 |
湖北宜化 |
44.5 |
裝置開工率不高,少量精醇 |
|
華中 |
湖北三寧 |
30 |
30萬噸兩套裝置日產量650余噸。 |
|
華中 |
湖南宜化 |
6 |
6萬噸老裝置仍處于停車狀態,7萬噸新裝置運行穩定。 |
|
華中 |
河南濮陽龍宇 |
20 |
其30萬噸/年甲醇裝置日產450噸 |
|
華中 |
河南心連心 |
15 |
其20萬噸/年日產350噸 |
|
華中 |
河南豫北 |
18 |
開工率不到40%,日產100多噸 |
|
華中 |
河南藍天 |
73 |
全部開車 |
|
華中 |
河南寶馬 |
15 |
停車 |
|
華中 |
河南義馬 |
24 |
日產量400噸 |
|
華中 |
河南中原大化 |
50 |
停車檢修中 |
|
華中 |
河南開祥 |
20 |
9月底停車,目前尚未啟動 |
|
華中 |
河南永城龍宇 |
50 |
10月15日日產量降至800噸 |
|
華中 |
河南延化 |
5 |
粗醇日產不到100噸,精醇停產 |
|
華中 |
河南晉開綠宇華電 |
16 |
僅6萬噸/年裝置開車 |
|
東北 |
北大荒浩化 |
10 |
9月初停車至今 |
|
東北 |
黑龍江寶泰隆 |
10 |
停車檢修 |
|
東北 |
大慶油田 |
20 |
負荷不高 |
|
東北 |
大連大化 |
30 |
計劃2009年11月投產 |
|
東北 |
黑龍江凱博達煤炭化工 |
10 |
8月底投產 |
|
東北 |
中煤龍化 |
41 |
日產400余噸 |
|
東北 |
吉林東圣焦化 |
6 |
9月底投產 |
|
華南 |
福建三明 |
4 |
裝置低負荷 |
|
華南 |
福建順昌富寶 |
9 |
開工率較低,日產量100余噸。 |
|
華東 |
安徽臨泉 |
25 |
日產500噸 |
|
華東 |
安徽昊源 |
20 |
開工率30%,日產300多噸。 |
|
華東 |
安徽阜南化工 |
5 |
產量較少 |
|
公司 |
地點 |
產能(萬噸/年) |
時間 |
狀況 |
|
Methanex |
特立尼達和多巴哥Point Lisas Atlas |
170 |
|
短期停車1-2天,9月14日重啟,目前產量5400噸/天。Methanex Port Lisas Titan甲醇裝置目前開工率104%,該裝置產能85萬噸/年。 |
|
Methanex |
埃及 |
126 |
2010 |
2010年上半年啟動。 |
|
Methanex |
智利南部Cabo Negro |
90 |
|
因智利天然氣供應提升計劃今年年底啟動其位于智利南部Cabo Negro第二套甲醇裝置 |
|
伊朗NPC |
札格羅斯1#2# |
165 |
|
伊朗NPC位于Assaluyeh年產165萬噸Zagros 2#裝置自10月5日起臨時停車檢修。 |
|
伊朗NPC |
Fanavaran |
100 |
|
開工率約80-90%。該工廠最初9月9日左右重啟,8月28日因技術問題,意外停車 |
|
Kharg |
Kharg |
66 |
|
于7月22日起因催化劑更換和其他設備原因停車檢修,9月初重啟 |
|
沙特阿拉伯國際甲醇公司(IMC)和沙特基礎工業公司(SABIC)合資公司 |
Al Jubail |
100 |
8月 |
8月初開始進行為期25天左右的年度檢修,9月初開車 |
|
馬來西亞Petronas |
Labuan |
170 |
10 |
負荷60% |
|
Petronas |
Labuan |
66 |
10 |
仍處于停車中 |
|
Kaltim |
Bontang |
73 |
2010年第一季度 |
計劃檢修1個月 |
|
德國漢姆 |
德國 |
66 |
|
停車中 |
|
委內瑞拉 |
委內瑞拉 |
72 |
10月 |
不可抗力 |
|
委內瑞拉Metor |
160 |
2010年 |
產能擴充工程年底有望完成。項目完成后,該企業甲醇產能將由85萬噸/年擴至160萬噸/年。公司計劃2010年第一季度投產。 | |
|
挪威國家石油公司 |
Tjeldbergodden |
90 |
9月底重啟 |
8月31日進行為期四周的停車檢修,9月底重啟 |
|
荷蘭biomethanol |
Delfzijl |
50 |
|
因技術問題,甲醇裝置宣布不可抗力,已于9月底重啟 |
煤炭網版權與免責聲明:
凡本網注明"來源:煤炭網www.wxzkbxg.com "的所有文字、圖片和音視頻稿件,版權均為"煤炭網www.wxzkbxg.com "獨家所有,任何媒體、網站或個人在轉載使用時必須注明"來源:煤炭網www.wxzkbxg.com ",違反者本網將依法追究責任。
本網轉載并注明其他來源的稿件,是本著為讀者傳遞更多信息的目的,并不意味著本網贊同其觀點或證實其內容的真實性。其他媒體、網站或個人從本網轉載使用時,必須保留本網注明的稿件來源,禁止擅自篡改稿件來源,并自負版權等法律責任。違反者本網也將依法追究責任。 如本網轉載稿件涉及版權等問題,請作者在兩周內盡快來電或來函聯系。
網站技術運營:北京真石數字科技股份有限公司、喀什中煤遠大供應鏈管理有限公司、喀什煤網數字科技有限公司
總部地址:北京市豐臺區總部基地航豐路中航榮豐1層
京ICP備18023690號-1 京公網安備 11010602010109號
